欢迎来到泰星减速机股份有限公司官网!

联系我们

联系人:赵经理

手  机:18761031608

电   话:0523-87669448

QQ    :1848859180

邮  件:1848859180@qq.com

传  真:0523-87669448

网  址:www.taixing-jsj.com.cn

地  址:泰兴市姚王镇泰姚北路10号

泰星行星齿轮减速机

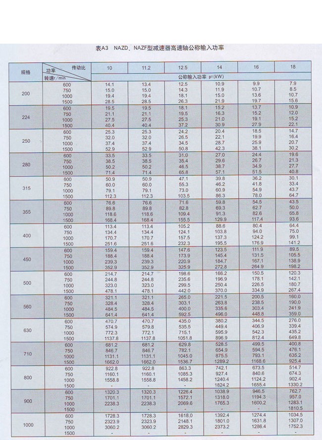
NAZD行星减速器

  • 详细介绍

NAZD行星减速器

NAZD行星减速器

NAZD行星减速器

NAZD行星减速器

NAZD行星减速器

NAZD行星减速器



本文网址:http://www.taixing-jsj.com.cn/content/?74.html

关键词:齿轮减速机,行星减速机

在线客服
二维码

扫一扫获取报价